3044永利集团(中国)有限公司
首页
|
公司概况
|
3044永利简介
机构设置
领导分工
党委委员分工
党建工作
|
工作动态
理论学习
组织机构
团队建设
|
研究方向
学科特色
团队队伍
|
团队概况
教授风采
本科教学
|
专业介绍
教学动态
教学制度
公司产品
|
招生工作
培养动态
导师简介
科学研究
|
科研成果
科研动态与交...
员工工作
|
团学动态
评奖评优
人才招聘
社会服务
|
理论宣讲
合作交流
人才招聘
|
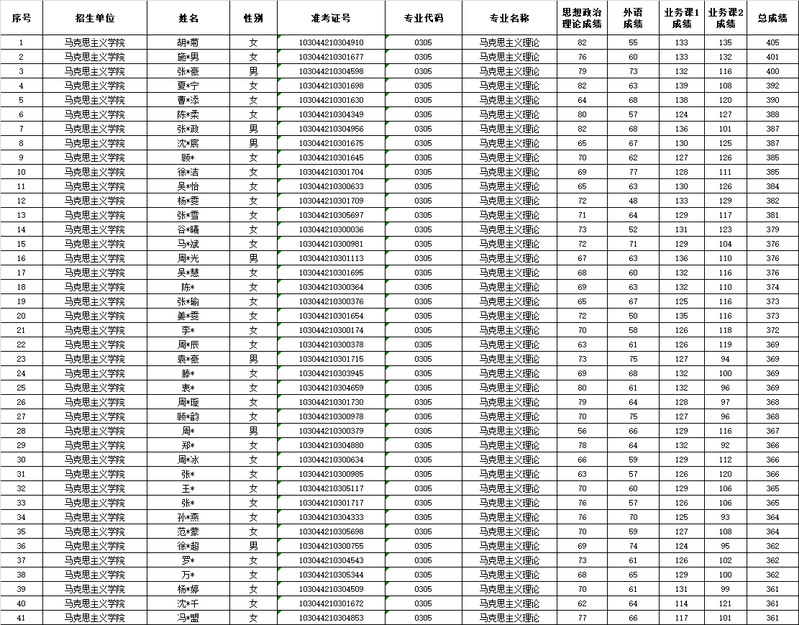
3044永利2024年硕士研究生复试考生名单(一志愿)
来源:3044永利
发布时间:2024-04-03
浏览次数:
4351